注冊結構工程師:恒定流習題(3)
更新時間:2010-07-23 09:39:39
來源:|0
瀏覽
收藏
結構工程師報名、考試、查分時間 免費短信提醒
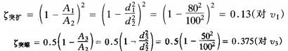
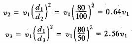
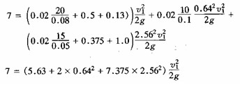
[例6-5-3] 在圖6—5—8所示的管道中,設l1=20m,l2=10m,l3=15m,d1=80mm,d2=lOOmm,d3=50mm,q1=q2=0,λ1=λ2=λ3=0.02,H=7.0m。求管中流量并定性地繪制測壓管水頭線和總水頭線。
(解) 根據圖6-5—8所示局部阻力有ζ進口、ζ突擴、ζ突縮。可查表6-4-3確定:ζ進口=0.5

取斷面1—1及斷面D寫出能量方程:
![]()
V=、v=、v3均為未知數,一個方程無法求解。寫連續(xù)性方程

代入以上能量方程中

解得

繪出總水頭線及測壓管水頭線于圖6-5-8中。應注意圖中:1)各管段總水頭線的斜 率不同,流速大的管段單位長度的損失大,總水頭線的斜率就大;2)各管段流速水頭不同,所以總水頭線與測壓管水頭線之間高差也不同;3)測壓管水頭線可以上升。圖中B斷面處由于流速減小,動能轉化為壓能,導致測壓管水頭線上升。
2010年注冊結構工程師考試報名時間信息匯總
結構工程師基礎科目(一)考試普通化學練習題匯總
2010年結構師考試9月18、19日
更多信息請訪問:結構工程師頻道 結構工程師論壇
編輯推薦
上一篇:注冊結構工程師:恒定流習題(2)
下一篇:注冊結構工程師:恒定流習題(4)
最新資訊
- 2025年二級結構工程師考試都是選擇題嗎?題型分布與備考策略全解析2025-10-30
- 2025年一級注冊結構工程師模擬題終極指南:高效備考沖刺全攻略2025-10-30
- 2025年二級結構工程師專業(yè)考試模擬題解析,免費下載!備考沖刺必備資料2025-10-29
- 注冊結構工程師模擬考試題2023-04-23
- 一級注冊結構工程師模擬題下載2023-04-21
- 一級注冊結構工程師模擬題2023-04-20
- 2022年一級注冊結構工程師試題2022-04-11
- 2021年注冊結構工程師考前復習練習題匯總(含模擬題、歷年真題)2021-09-28
- 2021年二級注冊結構工程師專業(yè)考試沖刺試題及答案(十)2021-09-16
- 2021年二級注冊結構工程師專業(yè)考試沖刺試題及答案(九)2021-09-15