注冊結構工程師:流動阻力和水頭損失例題(1)
更新時間:2010-07-22 08:54:23
來源:|0
瀏覽
收藏
結構工程師報名、考試、查分時間 免費短信提醒
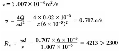
[例6-4-1] 一圓管,內徑d=6mm,有水通過,水溫為20℃,管中流量為0.021/s,試判別流態(tài)。若管中通過的是ν=2.2×10-6┫/s的重油,流量仍為0.021/s,試再判別流態(tài)。
[解] 水溫2012由表6—1-2查得

流動為紊流。
管中為油時:
![]()
流動為層流。
2010年注冊結構工程師考試報名時間信息匯總
結構工程師基礎科目(一)考試普通化學練習題匯總
2010年結構師考試9月18、19日
更多信息請訪問:結構工程師頻道 結構工程師論壇
編輯推薦
最新資訊
- 2025年二級結構工程師考試都是選擇題嗎?題型分布與備考策略全解析2025-10-30
- 2025年一級注冊結構工程師模擬題終極指南:高效備考沖刺全攻略2025-10-30
- 2025年二級結構工程師專業(yè)考試模擬題解析,免費下載!備考沖刺必備資料2025-10-29
- 注冊結構工程師模擬考試題2023-04-23
- 一級注冊結構工程師模擬題下載2023-04-21
- 一級注冊結構工程師模擬題2023-04-20
- 2022年一級注冊結構工程師試題2022-04-11
- 2021年注冊結構工程師考前復習練習題匯總(含模擬題、歷年真題)2021-09-28
- 2021年二級注冊結構工程師專業(yè)考試沖刺試題及答案(十)2021-09-16
- 2021年二級注冊結構工程師專業(yè)考試沖刺試題及答案(九)2021-09-15