注冊結(jié)構(gòu)工程師:卡氏第二定理模擬題(2)
更新時間:2010-06-29 09:43:09
來源:|0
瀏覽
收藏
結(jié)構(gòu)工程師報名、考試、查分時間 免費短信提醒
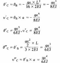
[例5-8-2] 試用疊加法求圖5-8—4所示外伸梁外伸端C點的撓度vc和轉(zhuǎn)角θC。

[解] 將荷載分解為b)、(c)、(d)三種情況,每種情況下的轉(zhuǎn)角、撓度可查表得到:

由疊加原理:

2010年注冊結(jié)構(gòu)工程師考試報名時間信息匯總
結(jié)構(gòu)工程師基礎(chǔ)科目(一)考試普通化學(xué)練習(xí)題匯總
2010年結(jié)構(gòu)師考試9月18、19日
更多信息請訪問:結(jié)構(gòu)工程師頻道 結(jié)構(gòu)工程師論壇
編輯推薦
最新資訊
- 2025年二級結(jié)構(gòu)工程師考試都是選擇題嗎?題型分布與備考策略全解析2025-10-30
- 2025年一級注冊結(jié)構(gòu)工程師模擬題終極指南:高效備考沖刺全攻略2025-10-30
- 2025年二級結(jié)構(gòu)工程師專業(yè)考試模擬題解析,免費下載!備考沖刺必備資料2025-10-29
- 注冊結(jié)構(gòu)工程師模擬考試題2023-04-23
- 一級注冊結(jié)構(gòu)工程師模擬題下載2023-04-21
- 一級注冊結(jié)構(gòu)工程師模擬題2023-04-20
- 2022年一級注冊結(jié)構(gòu)工程師試題2022-04-11
- 2021年注冊結(jié)構(gòu)工程師考前復(fù)習(xí)練習(xí)題匯總(含模擬題、歷年真題)2021-09-28
- 2021年二級注冊結(jié)構(gòu)工程師專業(yè)考試沖刺試題及答案(十)2021-09-16
- 2021年二級注冊結(jié)構(gòu)工程師專業(yè)考試沖刺試題及答案(九)2021-09-15