結(jié)構(gòu)工程師模擬題:常用簡單圖形的慣矩
更新時間:2010-06-28 08:50:24
來源:|0
瀏覽
收藏
結(jié)構(gòu)工程師報名、考試、查分時間 免費短信提醒
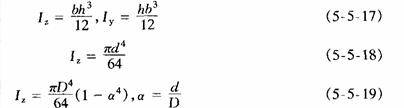
一、 常用簡單圖形的慣矩(圖5-5—5)
5-5-17為矩形,5-5-18為圓形,5-5-19為空心圓截面


[例5-5-1] 試求圖5-5-8所示截面圖形的形心主慣性矩。
[解] y軸為圖形的對稱軸,故為形心主軸之一。
1.求形心C
圖5-5-8所示截面可看作由矩形I和矩形Ⅱ組成。其面積各為
AI=200×50=10000mm2
AⅡ=50×150=7500mm2
以z1軸為參考坐標,則
![]()
過形心C作垂直y軸的z軸,則y、z軸即為形心主軸。

2.求形心主慣性矩

2010年注冊結(jié)構(gòu)工程師考試報名時間信息匯總
結(jié)構(gòu)工程師基礎(chǔ)科目(一)考試普通化學(xué)練習題匯總
2010年結(jié)構(gòu)師考試9月18、19日
更多信息請訪問:結(jié)構(gòu)工程師頻道 結(jié)構(gòu)工程師論壇
編輯推薦
最新資訊
- 2025年二級結(jié)構(gòu)工程師考試都是選擇題嗎?題型分布與備考策略全解析2025-10-30
- 2025年一級注冊結(jié)構(gòu)工程師模擬題終極指南:高效備考沖刺全攻略2025-10-30
- 2025年二級結(jié)構(gòu)工程師專業(yè)考試模擬題解析,免費下載!備考沖刺必備資料2025-10-29
- 注冊結(jié)構(gòu)工程師模擬考試題2023-04-23
- 一級注冊結(jié)構(gòu)工程師模擬題下載2023-04-21
- 一級注冊結(jié)構(gòu)工程師模擬題2023-04-20
- 2022年一級注冊結(jié)構(gòu)工程師試題2022-04-11
- 2021年注冊結(jié)構(gòu)工程師考前復(fù)習練習題匯總(含模擬題、歷年真題)2021-09-28
- 2021年二級注冊結(jié)構(gòu)工程師專業(yè)考試沖刺試題及答案(十)2021-09-16
- 2021年二級注冊結(jié)構(gòu)工程師專業(yè)考試沖刺試題及答案(九)2021-09-15